近期,長春中醫藥大學附屬醫院牽頭在國際期刊《J Res Med Sci》上發表了一篇關于《與干擾素-γ聯合治療可能是提高間充質細胞治療類風濕關節炎療效的潛在策略》的研究成果。

研究表明,間充質干細胞可在短期內緩解類風濕關節炎患者的DAS,降低RF水平,其中間充質干細胞聯合γ干擾素(MSC_IFN)效果更為明顯,可顯著改善ACR20、ACR50、DAS<3.2的結果,降低DAS及RF水平。
什么是類風濕關節炎?
類風濕性關節炎(RA)是一種以侵蝕性關節炎為主要臨床表現的自身免疫病,它不致命,但卻無法治愈,因此也被稱為“不死的癌癥”。
目前的證據表明,RA是一種終身疾病,會縮短壽命。雖然改善病情的抗風濕藥物可以抑制該疾病的活動性,但通常需要長期用藥,約30%的患者反應不佳。

間充質干細胞 (MSC) 療法因其強大的免疫抑制、抗炎和組織再生作用而受到廣泛關注。
但干細胞特別是間充質干細胞對類風濕性關節炎的治療效果仍存在爭議,主要爭議在于間充質干細胞作用持續時間的差異,1項研究認為類風濕性關節炎患者接受間充質干細胞治療后獲得的臨床獲益在3個月后即消失,而1項研究則認為間充質干細胞的有效時間可達3年。
因此,仍需要根據隨訪時間點以及評估方法進行綜合分析。本研究將通過傳統和網絡薈萃分析,分析細胞治療和基于細胞的策略對RA的不同隨訪時間點和評價方法的治療效果。
干擾素-γ對間充質干細胞功能的影響
IFN-γ是一種重要的細胞因子,在RA患者體內通常處于高水平表達狀態。它能夠激活抗原提呈細胞,并上調轉錄因子T-bet的表達,這可以顯著增強間充質干細胞對于T細胞、單核細胞/巨噬細胞以及樹突狀細胞的免疫抑制作用。這意味著當間充質干細胞暴露于IFN-γ環境中時,它們可能會獲得更強的免疫調節能力。
8項研究表明:干細胞與干擾素-γ聯用可提升類風濕關節炎治療效果
方法:檢索范圍包括PubMed、Embase、Cochrane Library、Scopus、EBSCOhost、Clinicaltrial等公共在線數據庫,以及CNKI、萬方、SinoMed等中文數據庫。從開始到2021年6月17日。其中包括研究RA患者細胞療法的隨機對照試驗。(見圖1)

結果
電子數據庫檢索共獲得1153篇英文文獻和406篇中文文獻。對其中632篇文獻進行標題和摘要篩選(去重后),排除573篇。59篇文章符合全文審查條件,其中51篇文章被排除,最終, 8項研究(480例患者)被納入分析。
這些研究發表于2015年至2020年之間。患者患有難治性類風濕關節炎和/或平均病程為10年的類風濕關節炎。(見圖2)

先前研究發現,細胞治療后的短期與長期隨訪結果存在差異,因此,我們采用亞組分析,按系列時間點匯總結果。
ACR20、ACR50和ACR70是美國風濕病學會提出的一項用于評估類風濕關節炎治療效果的標準,它代表了患者在接受治療后相對于基線狀態的改善程度。
DAS是指“疾病活動度評分,它是一個用于評估RA患者疾病活躍程度的量化工具。
- 首先對MSCs與對照組進行比較。對于ACR20、ACR50和ACR70結果,MSCs在1周至3個月均未顯著優于對照組(圖3a、b、c)。
- 對于DAS結果,與對照組相比,MSC治療在第2個月和第3個月顯著降低了DAS28評分(圖3d)。

實驗室檢查結果顯示:
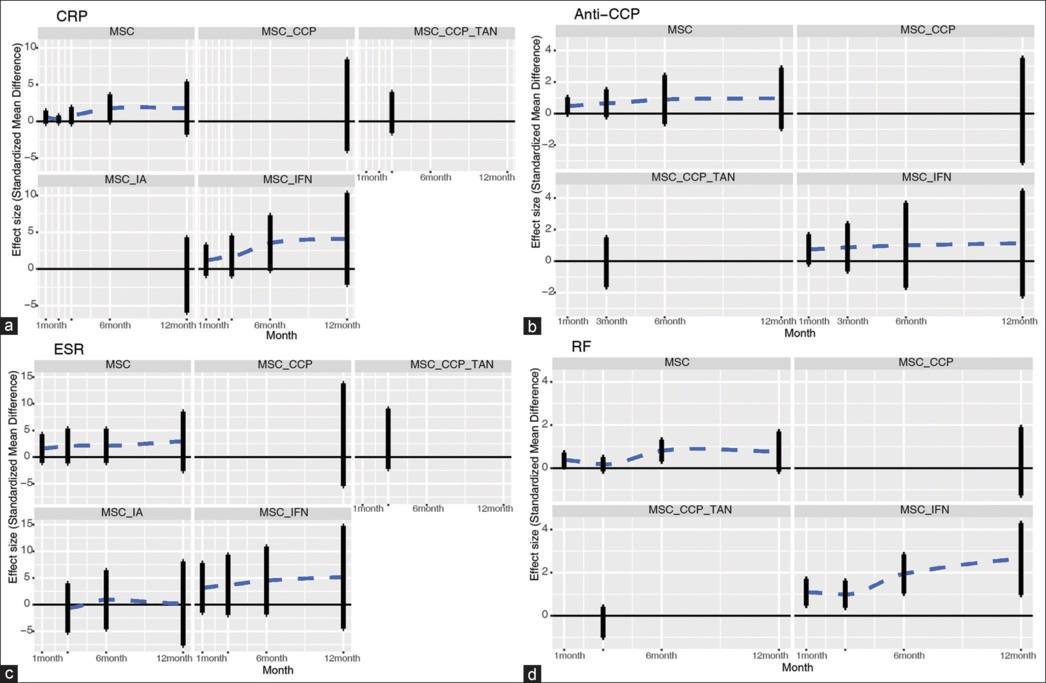
- 研究期間間充質干細胞未能顯著降低抗CCP、ESR和CRP水平 (圖4a-c)。
- 一項研究表明,結果的異質性是由于干細胞治療后患者的干擾素-γ(IFNγ)水平不同。該因素也指導了間充質干細胞和IFNγ的聯合策略。發現間充質干細胞在第1個月和第6個月顯著降低RF水平 (圖4d)。

MSCs_CCP是指那些被設計用來研究或治療與瓜氨酸化(CCP)相關的自身免疫反應的MSCs
MSCs_CCP_TAN是指某種特定類型的細胞或條件下的MSCs
MSCs_IA是指的是通過關節內注射給藥的MSCs
在網絡薈萃分析中,納入了間充質干細胞(MSCs)、間充質干細胞聯合干擾素-γ(MSCs_IFN)、MSCs_CCP、MSCs_CCP_TAN和MSCs_IA的策略,并在一系列時間點進行分析。
- 對于ACR20,MSC_IFN明顯優于對照組,在第1個月排名最高,在第 3個月,MSC_IFN、MSC_CCP和 MSC_CCP_TAN明顯優于對照治療,且MSC_CCP排名最高(圖5a)。
- 對于ACR50,第1個月時MSC_IFN與對照組相比具有明顯優勢,且排名最高(圖5b)。
- 對于ACR70,第3個月時MSCs與對照組相比無明顯優勢,IFN-MSCs排名最高(圖5c)。

對于DAS,根據傳統的薈萃分析:
- 發現第2、3個月的MSC以及第1、3個月的MSC_IFN對比對照組有顯著優勢。(圖5d)
- 基于頻率的DAS<3.2結果中,MSC_IFN在第1、3個月優于對照組,DAS<2.6結果無顯著差異。(圖5e-f)
- 在HAQ、抗CCP、ESR和CRP結果中,隨訪時間點雖無統計學顯著差異,但MSCs和IFN – MSCs對比對照組有有效的趨勢。(圖6a-c)

RF是指“類風濕因子”(Rheumatoid Factor),這是一種自身抗體,主要針對人體內的IgG抗體的Fc片段。
對于RF,傳統的薈萃分析顯示:
- MSCs在第1個月和第6個月顯著優于對照組。
- MSC_IFN在隨訪第1個月至第12個月的時間點均顯著優于對照治療(圖6d)。
討論
- 治療效果分析
- 本篇文章通過傳統和網絡薈萃分析細胞治療類風濕性關節炎的潛力,結果顯示MSC治療可降低特定時間的DAS評分和RF水平,減輕疾病活動性。MSC_IFN對增加ACR相關人群、降低DAS評分和長期降低RF水平有顯著作用,MSC_CCP和MSC_CCP_TAN在第3個月ACR20結果上有優勢,MSCs與IFNγ聯合應用效果更明顯。
- 作用機制
- MSCs可調節免疫細胞,單獨使用無明顯治療優勢,與高水平IFNγ結合可達到理想治療效果,IFNγ預處理MSCs可提高其免疫抑制能力,二者有協同和擴增作用調控免疫細胞并產生炎癥抑制因子。
- 對細胞治療有反應患者體內的某些miRNA能抑制TGFβ – SMAD2/3通路,IFNγ也能通過STAT1抑制該通路,這是IFNγ提高MSC反應不佳患者治療效果的原因之一。
- 其他物質對RA的影響
- 鹿茸、黃瓜多肽、丹參酮IIA可通過降低TNF – α水平改善RA癥狀,但對于CCP和TAN聯合MSCs對RA的影響還需更多研究。
- MSC注射方式及相關細胞的影響
- 薈萃分析顯示MSC不適合關節內注射,因為其與RA患者關節中的成纖維細胞樣滑膜細胞特性相似且其多潛能和再生能力在關節腔內受抑制。排除了CSF和造血干細胞干預研究,因為其在RA模型中有不良影響,G – CSF和GM – CSF的拮抗作用可用于治療RA。
結論
綜上所述,間充質干細胞可在短期內緩解RA患者的DAS,降低RF水平。間充質干細胞聯合干擾素-γ治療效果更為明顯,可顯著改善ACR20、ACR50、DAS<3.2的結果,降低DAS和RF水平。
相關閱讀:想要了解更多關于干細胞治療類風濕關節炎的新聞資訊請點擊這里!
參考資料:
Nie, Da-Qing1; Yan, Gui-Xiu2; Wang, Zheng-Yi3; Yan, Xue4; Yu, Gui-Mei1; Gao, Jin-Liang1; Liu, Di1; Li, Hong-Bo4. Combination treatment with interferon-γ may be a potential strategy to improve the efficacy of cytotherapy for rheumatoid arthritis: A network meta-analysis. Journal of Research in Medical Sciences 29(1):29, May 2024. | DOI: 10.4103/jrms.jrms_697_21
免責說明:本文僅用于傳播科普知識,分享行業觀點,不構成任何臨床診斷建議!杭吉干細胞所發布的信息不能替代醫生或藥劑師的專業建議。如有版權等疑問,請隨時聯系我。
掃碼添加微信