概述:間充質干細胞(MSCs)在治療糖尿病患者方面具有巨大潛力,但治療效果并不總能達到。特別是,臨床上對間充質干細胞治療2型糖尿病的調控因素仍不甚了解。
上海長海醫院在期刊雜志《Stem Cells Translational Medicine》發表了一篇“將人類脫落牙齒干細胞注入2 型糖尿病患者體內的治療潛力取決于基礎血脂水平和胰島功能”的臨床研究案例。

上海長海醫院內分泌科研究選取24例接受胰島素治療的2型糖尿病(T2DM)患者,在6周內接受3次人脫落乳牙(SHED)干細胞靜脈輸注,并進行12個月的隨訪。
我們觀察到間充質干細胞移植后患者糖化血清白蛋白水平(P<0.05)和糖化血紅蛋白水平(P<0.05)顯著降低。治療結束時和隨訪期的總有效率分別為86.36%和68.18%。3例患者在間充質干細胞移植后停止胰島素注射。饅頭餐試驗顯示,患者餐后2小時血清C肽水平顯著高于基線水平(P<0.05)。進一步分析發現,血膽固醇水平高、C肽基線水平低的患者對SHED移植反應較差,部分患者在SHED移植后出現短暫性發熱(11.11%)、乏力(4.17%)或皮疹(1.39%),但均能很快緩解。
綜上所述,間充質干細胞輸注是一種安全有效的改善2型糖尿病患者糖代謝和胰島功能的治療方法,血脂水平和基線胰島功能可能是影響2型糖尿病患者MSC移植療效的關鍵因素。
臨床總結:間充質干細胞 (MSC) 在治療糖尿病患者方面具有巨大潛力,但治療效果并不總是能達到。特別是,在這種情況下調節MSC治療的臨床因素在很大程度上是未知的。這項研究證實,人類脫落乳牙干細胞移植是一種簡單、安全、有效的糖尿病患者治療方法。血脂水平和基線胰島功能可能是影響這些患者MSC 移植治療結果的關鍵因素。
介紹
糖尿病是日益嚴重的全球性流行病。根據國際糖尿病聯盟的數據,2017年全球20歲以上糖尿病患者人數已達4.249億,預計到2045年患者總數將達到6.286億。
2型糖尿病( T2DM )占所有糖尿病病例的90%以上。盡管其發病機制尚未完全闡明,但β細胞的功能障礙在其發生、發展中起著關鍵作用。
現有的降糖藥物,包括胰島素,主要用于控制高血糖、延緩并發癥的發展,但并不能有效逆轉胰島β細胞的進行性減少及衰竭。促進胰島β細胞再生,恢復內源性胰島素分泌可能是治愈糖尿病的理想方法。

既往研究表明,間充質干細胞(MSCs)因其巨大的臨床潛力而脫穎而出,因為它們可能能夠恢復胰島β細胞的功能,并且具有許多優勢,例如來源容易、采集時創傷小、免疫原性低。因此,間充質干細胞治療在糖尿病研究領域引起了極大關注。
來源于成人牙齒(牙髓干細胞 [DPSC])或乳牙(人脫落乳牙干細胞 [SHED])的牙髓 MSCs 具有形成細胞集落的能力,并表現出強大的增殖能力。
盡管SHED和DPSC在臨床應用中具有資源豐富、易獲取、副作用發生率低、不存在倫理爭議等諸多優勢,但目前尚無研究證實SHED或DPSC治療糖尿病的臨床療效。本研究旨在評估同種異體乳牙干細胞移植對2型糖尿病患者的安全性和有效性,并評估影響SHED療效的潛在因素。
上海長海醫院內分泌科:干細胞治療2型糖尿病患者的潛力取決于基礎血脂水平和胰島功能
主題:2018年5月至8月,上海長海醫院內分泌科共納入24例2型糖尿病患者。
移植和隨訪:本研究分為篩選期、治療期和隨訪期。篩選期為1周,符合條件的患者在篩選后1周內入組。患者在42天的治療期內接受3次SHED靜脈輸注,第一次輸注在入組時安排,第二次和第三次輸注分別安排在第一次輸注后1周和4周。
SHED輸注的劑量是根據我們以前使用間充質干細胞治療自身免疫性疾病患者的研究而選擇的。隨訪期包括第三次SHED輸注后1、2、3、6、9和12個月的檢查。在研究期間,根據血糖水平的變化調整胰島素劑量,而如果患者沒有副作用或已停止注射胰島素,則不調整口服降糖藥的種類和劑量。
研究方法:入組當天,我們對所有入組患者進行自我管理培訓,包括飲食和運動對糖尿病的重要性以及低血糖的常見癥狀。為患者發放統一的血糖監測儀。在隨訪期間,檢查并加強患者的自我管理意識和能力。
本研究以胰島素日劑量為主要評價指標,當胰島素日劑量較基線減少≥50%時,評估為顯效;當胰島素日劑量較基線減少≥20%但<50%時,評估為有效;當胰島素日劑量較基線減少<20%時,評估為無效。HbA1c、FBG及連續血糖監測結果的變化被用作次要療效評價指標。胰島素抵抗指數(HOMA-IR)通過公式FBG(mmol/L)×空腹胰島素(mmol/L)/22.5計算。
結果
代謝指標:在入選的24名T2DM患者中,有2名患者在第三次隨訪后退出。患者的基線信息如表1所示。SHED的特征是通過評估典型的MSC表型,包括形態、表面標志和多分化功能。
治療期間,患者的GSP水平與基線水平相比顯著降低(P<0.05)。治療結束一個月后,GSP水平也顯著低于基線水平(P<0.05),與治療結束時的數值相似(圖1A)。治療結束后2周,與基線水平相比,HbA1c水平也顯著降低(P<0.05)。
HbA1c的這種降低一直維持到第三次隨訪(第三次SHED輸注后12周)。此后,直至隨訪結束,HbA1c水平仍然低于基線水平,但沒有統計學差異(圖1B)。治療期間,FBG水平顯著低于基線水平,隨后呈上升趨勢,與基線水平相比沒有統計學差異(圖1C)。然而,患者自我監測的空腹CBG值在隨訪期間略有波動,且無統計學差異(圖1D)。

縮寫:ALT,丙氨酸氨基轉移酶;AST,天冬氨酸氨基轉移酶;BMI,身體質量指數;eGFR,估計腎小球濾過率;FBG,空腹血糖;FCP,空腹C肽;FIN,空腹胰島素;HbA1c,糖化血紅蛋白;HDL-C,高密度脂蛋白膽固醇;LDL-C,低密度脂蛋白膽固醇;P2hBG,餐后2小時血糖;P2hCP,餐后2小時C肽;P2hIN,餐后 2 小時胰島素;SCr,血清肌酸;TC,總膽固醇;TG,甘油三酯。

A:患者從基線到治療期結束后1個月的GSP水平。B:研究期間HbA1c水平的變化。C、D:研究期間患者的FBG水平(C)和自我監測的空腹CBG值(D)。CBG,毛細血管血糖;FBG,空腹血糖;GSP,糖化血清白蛋白;HbA1c,糖化血紅蛋白
分別于第一次SHED輸注前、治療期結束時及第三次SHED輸注后3、6、9、12個月進行饅頭餐試驗。治療期結束時及隨訪期間,餐后1、2小時血糖均低于基線水平,并在治療期結束后3個月達到最低水平(圖2A);SHED移植導致空腹C肽(FCP)水平升高,但差異無統計學意義(圖2B)。治療期結束時,餐后2小時C肽(P2hCP)水平明顯高于基線水平,此后呈下降趨勢,但在隨訪結束時仍高于基線水平,無統計學差異(圖2B);HOMA-IR在治療期結束時和隨訪期間均高于基線水平,但差異無統計學意義(圖2C)。

A、患者治療前、治療期結束時及第三次輸注人脫落乳牙干細胞后3、6、9、12個月的FBG、P1hBG、P2hBG水平。
B、研究期間FCP、F1hCP、F2hCP水平的變化。
C、研究期間患者HOMA-IR的變化。
FBG,空腹血糖;FCP,空腹C肽;HOMA-IR,胰島素抵抗指數;P1hBG,餐后1小時血糖;P1hCP,餐后1小時C肽;P2hBG,餐后2小時血糖;P2hCP;餐后2小時C肽
SHED移植后TC、LDL-C水平逐漸下降,?第2次、第3次SHED移植后2周與基線水平相比差異均有統計學意義。血TG水平在觀察期間無明顯變化(圖3)。ALT、AST、eGFR、SCr水平在正常基線范圍內,隨訪期間無明顯變化(數據未顯示)。

治療效果
共有22例患者完成了研究,研究者通過患者信息評估患者每日胰島素使用量。結果顯示,治療期間患者每日胰島素劑量明顯減少,治療結束時與基線相比減少了35.34%。在隨訪期間,患者每日胰島素劑量進一步減少,與基線水平相比,治療期結束后3、6、9個月患者每日胰島素劑量分別減少了51.18%、43.39%、39.39%。此后劑量相對穩定,未見明顯減少(圖4A)。

A、研究期間24例患者每日胰島素劑量變化。B、22例患者SHED移植治療療效分析。
每日胰島素注射劑量是本研究的主要療效評價標準,治療期結束時總有效率86.36%(19/22)。2例患者在治療期間停止注射胰島素,治療期結束后6個月的總有效率81.82%(18/22)。另有1例患者在隨訪期間停止注射胰島素,截至研究結束時,總有效率68.18%(15/22),其中3例患者停止注射胰島素(圖4B)。其余4例患者的胰島素注射頻率與治療前相比亦有所減少。
相關性分析
通過數據分布圖確定各指標閾值后,進行初期及終點雙因素相關性分析。結果顯示,干細胞移植前血糖水平與療效具有相關性,入選患者HbA1c<8.5%治療后,每日胰島素劑量明顯減少(圖5A)。患者治療前的胰島功能狀態與治療后胰島功能恢復程度密切相關,FCP>1.7ng/mL、P2hCP>3ng/mL患者治療后胰島功能恢復較好(圖5B、C)。此外,干細胞治療前TC<5mmol/L或TG≤1.5mmol/L或LDL-C<3.2mmol/L的患者,每日胰島素劑量明顯減少(圖5D-F)。

A:干細胞移植前HbA1c水平影響研究結束時每日胰島素劑量。
B、C:基線FCP(B)和P2hCP(C)水平影響研究結束時FCP水平。DF、患者治療前的TC(D)、TG(E)、LDL-C(F)水平影響研究結束時每日胰島素劑量。
FCP,空腹C肽;HbA1c,糖化血紅蛋白;IN,胰島素;LDL-C,低密度脂蛋白膽固醇;P2hCP,餐后2小時C肽;TC,總膽固醇;TG,甘油三酯
不利影響
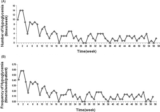
低血糖是研究期間最常見的不良事件。所有24例患者的低血糖發生頻率在治療期間均增加,達到峰值0.51次/周/例。在隨訪期間,所有22例患者的低血糖發生頻率均明顯降低。SHED移植后6個月,低血糖平均發生頻率約為0.09次/周/例,與治療前水平相似(圖6A,B)。

除低血糖外,治療期間其他常見不良反應為短暫性發熱(11.11%)、乏力(4.17%)、皮疹(1.39%)。這些不良反應均發生在SHED移植后24小時內,經針對癥狀進行相應規范治療后緩解。隨訪期間,1例患者被確診為頸椎病、肩周炎、足底出血。另2例患者出現雙足骨折,發生率為8.33%(2/24)。這些疾病及發生率與干細胞治療無相關性。
討論
SHED是從兒童脫落的乳牙中提取的MSCs,具有極強的增殖能力。本研究旨在探討SHED能否改善2型糖尿病患者的糖代謝和胰島β細胞功能。研究結果顯示,間充質干細胞移植可改善常規注射胰島素的2型糖尿病患者的血糖和血脂水平。此外,間充質干細胞移植可部分改善胰島β細胞功能,并顯著減少每日胰島素劑量,部分患者甚至可停止注射胰島素。
既往研究表明,干細胞治療可有效控制2型糖尿病患者的血糖水平,改善患者的高血糖狀態。多中心數據顯示,MSC移植顯著降低HbA1c,但對FBG無影響。本研究發現SHED移植后GSP和HbA1c水平均明顯改善,尤其治療期和隨訪前3個月的HbA1c水平與基線水平相比明顯降低,提示SHED可在較長時間內有效改善胰島β細胞功能和血糖水平,與既往報道一致。總體而言,MSC治療后HbA1c改善水平較難維持,可能與MSC來源、劑量、移植頻率以及受者免疫微環境等多種因素有關,其詳細機制有待進一步研究。
目前尚無標準方法確定干細胞治療糖尿病的療效,本研究以胰島素日劑量作為評價干細胞治療療效的主要指標。結果顯示,胰島素日劑量自治療開始逐漸減少,在治療期結束3個月時達到最低水平。在1年隨訪結束時,仍在使用胰島素的患者胰島素日劑量仍僅為基線水平的60.63%,3例患者已完全停止注射胰島素。治療期結束時總有效率86.36%,1年隨訪總有效率68.18%,提示間充質干細胞的治療效果可以維持較長時間。治療期間GSP和HbA1c水平明顯下降,提示糖代謝可能得到改善。
由于胰島素劑量是評價2型糖尿病治療效果的主要指標,因此我們發現干細胞輸注后隨訪期間胰島素使用量穩定減少。這些結果表明干細胞療法可能是治療2型糖尿病的一種有前途的方法。此外,多種因素可能影響葡萄糖代謝,包括患者的生活方式、情緒和并發癥。更高的SHED輸注頻率和/或協同調節受體脂質微環境可能是進一步改善葡萄糖代謝的候選方法。
結論
- 輸注人類脫落乳牙干細胞是治療2型糖尿病患者的安全有效的方法。
- 輸注前血糖、血脂的控制有助于提高干細胞輸注的療效。
- 具有殘留胰島β細胞功能的患者從干細胞輸注中受益更多。
參考資料:Wenwen Li, Xuan Jiao, Jingyun Song, Bingdong Sui, Zhili Guo, Yingji Zhao, Jun Li, Songtao Shi, Qin Huang, Therapeutic Potential of Stem Cells from Human Exfoliated Deciduous Teeth Infusion into Patients with Type 2 Diabetes Depends on Basal Lipid Levels and Islet Function, Stem Cells Translational Medicine, Volume 10, Issue 7, July 2021, Pages 956–967, https://doi.org/10.1002/sctm.20-0303
免責說明:本文僅用于傳播科普知識,分享行業觀點,不構成任何臨床診斷建議!杭吉干細胞所發布的信息不能替代醫生或藥劑師的專業建議。如有版權等疑問,請隨時聯系我。
掃碼添加官方微信