腦癱作為全球兒童常見的神經系統致殘性疾病,其核心病理是發育中胎兒或嬰幼兒腦部非進行性損傷,導致運動功能障礙及多種伴隨癥狀。據世界衛生組織統計,全球腦癱發病率約為1-2%。,中國現有腦癱患兒超200萬,且每年新增病例約4-5萬。傳統治療手段如物理療法、藥物干預及手術矯正等,雖能在一定程度上改善癥狀,卻難以實現神經組織的再生修復。
而干細胞治療憑借其獨特的神經再生與免疫調節特性,正成為破解這一醫學難題的新希望。那么,干細胞治療腦癱的實際效果好嗎?本文將基于最新臨床研究與真實案例,為您展開深度解析。

干細胞治療腦癱效果好嗎?多項臨床試驗與長期數據的客觀評估
一、治療機制:再生醫學的科學基礎
干細胞治療腦癱的核心原理建立在神經再生與修復的生物學基礎上。腦癱的本質是胎兒期或嬰幼兒期大腦遭受非進行性損傷導致的運動和姿勢發育障礙,傳統治療方法無法修復已損傷的神經組織。而干細胞憑借其獨特的生物學特性,為神經修復提供了新的可能:
1.細胞替代與分化:干細胞具有多向分化潛能,可遷移至腦損傷區域,分化為神經元和膠質細胞,替代受損的神經細胞。神經干細胞(NSCs)在此方面表現尤為突出,但其臨床獲取難度較大。
2.營養因子分泌:間充質干細胞(MSCs)能分泌腦源性神經營養因子(BDNF)、膠質細胞源性神經營養因子(GDNF) 等生物活性物質,這些因子通過激活內源性修復機制促進神經突觸重塑和軸突再生。研究表明,營養因子的濃度與神經功能恢復程度呈正相關。
3.免疫調節與抗炎:干細胞通過調節T細胞功能、抑制炎癥因子釋放,減輕腦部慢性炎癥微環境,為神經修復創造有利條件。這一機制對減輕繼發性神經損傷具有關鍵意義。
4.血管再生支持:干細胞分泌的血管內皮生長因子等物質可促進新生血管形成,改善受損腦區的血液供應和氧合狀態,挽救處于缺血半暗帶的神經細胞。
詳情請瀏覽:干細胞治療腦癱的5大原理機制:它們能否給腦癱帶來治愈曙光?
二、治療效果的積極證據:從數據到案例的多維驗證
案例一:臍帶間充質干細胞治療腦癱的臨床療效驗證
2020年,行業期刊《干細胞研究與治療》上發表了一篇關于《臍帶間充質干細胞移植治療腦癱的治療證據:一項隨機對照試驗》的臨床研究成果。

本次研究共入組腦癱患者40例,1例患者撤回知情同意,因此39例患者接受了治療并完成了預定的評估。
與對照組相比,人臍帶間充質干細胞(hUC-MSC)組的日常生活能力(ADL)、粗大運動功能(GMFM)和認知功能評估(CFA)均顯著改善。此外,移植后12個月,hUC-MSC組5例患者中有3例的18F-FDG標準攝取值顯著增加。
臨床數據顯示,hUC-MSC移植聯合康復治療在改善腦癱患兒粗大運動功能和綜合能力方面具有顯著療效且安全性良好。研究還提示,腦代謝活動的恢復可能是腦癱患者功能改善的重要機制。
案例二:鼻腔注射神經干細胞移植治療腦癱的長期療效評估
2022年,國內某三甲醫院在國際期刊《Stem Cell Research & Therapy》上發表了一篇關于《腦癱患者鼻腔內注射神經干細胞的安全性和有效性結果:一項隨機對照試驗》的臨床研究成果,并進行了長達2年的隨訪記錄。

本次研究將25名3~12歲中度至重度的腦癱患者隨機分為治療組(15例)和對照組(10例),治療組接受鼻貼載藥神經干細胞(NSCs)經鼻腔輸注和康復治療,對照組僅接受康復治療。
臨床結果表明神經干細胞移植對中度至重度腦癱患者具有顯著改善效果
運動與日常功能改善:治療組患兒在24個月后運動功能顯著提升,尤其在精細動作(如抓握、書寫)和平衡能力上表現突出,GMFM-88量表評分明顯提高;日常生活活動能力(ADL)評分較治療前提升35%,自主進食、穿衣、移動等獨立性顯著增強。同時,社交互動和語言表達能力(如詞匯量、指令執行)顯著改善,部分患兒能參與簡單社交活動,家庭溝通質量提升。
神經影像學驗證:腦網絡能量(FBN分析)顯著降低,提示神經功能紊亂程度減輕,神經可塑性增強;灰質體積(VBM分析)在小腦、運動皮層等關鍵腦區擴大,為運動和感覺功能恢復提供了神經生物學基礎,支持治療效果的科學依據。
生活質量綜合提升:運動和語言功能的改善使患兒更易融入家庭及社會活動(如學校、游戲),社會參與度顯著提高;家庭照護負擔因日常活動獨立性增強而減輕,間接提升家庭生活質量;社交能力增強降低了患兒孤獨感,部分家庭反饋情緒穩定性顯著改善,心理狀態更積極。
綜上所述,該研究證實了鼻腔內注射神經干細胞聯合康復訓練對中重度腦癱患兒的安全性和顯著療效:24個月隨訪中,治療組在運動功能、日常生活能力及語言社交能力等方面均有明顯改善,神經影像學證據(進一步支持其神經修復機制。這一創新療法為腦癱治療提供了微創、低風險的新路徑,不僅提升了患兒生活質量,也為家庭減輕照護負擔,具有重要的臨床推廣價值。
相關閱讀:重度腦癱治療新方向:干細胞療法的臨床驗證與未來展望
案例三:臍帶血干細胞治療的多中心薈萃臨床療效分析
2025年4月11日,澳大利亞腦癱聯盟研究所在國際期刊《PEDIATRICS》上發表了一篇關于《腦癱兒童臍帶血治療:個體參與者數據薈萃分析》的研究成果。
本次研究共納入了11項研究共獲取498份受試者數據記錄。分別對170名接受臍血干細胞治療的受試者和171名對照受試者的主要分析。臨床研究顯示以下關鍵結論:

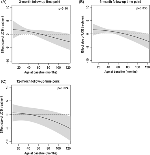
總體療效:UCB治療在6個月和12個月隨訪中顯著改善運動功能,但1個月和3個月無明顯效果。敏感性分析(排除偏倚研究)顯示結果穩定,異質性僅在短期隨訪中顯著。(圖1)

劑量越高效果越顯著:3個月和12個月時,總核細胞(TNC)計數≥50×10?/kg的治療組效果更佳。低劑量(<50×10?/kg)效果沒有高劑量明顯。(圖2)

CP嚴重程度差異:輕度患者(GMFCS I-III)在3、6、12個月均獲益更明顯,調整基線年齡后差異仍顯著。重度患者對任何劑量只有輕微改善,提示治療需分層管理。(圖3)

年齡越小療效越強:6個月和12個月隨訪中,年輕患者對UCB更敏感。

安全性:UCB治療安全,僅1例嚴重不良事件(冷凍保護劑反應),其他不良事件(如過敏反應)輕微且非UCB直接相關。
綜上所述,該研究首次通過大樣本數據驗證了臍帶血干細胞治療腦癱兒童的長期有效性,治療在6個月和12個月隨訪中顯著改善運動功能,且輕度患者和低齡兒童獲益更明顯,對重度患者療效有限。研究揭示了劑量、病情分級和年齡對治療效果的關鍵影響,為臨床分層治療和個性化方案設計提供了科學依據。同時,治療安全性良好,僅1例嚴重不良事件,進一步支持臍帶血療法作為腦癱干預的潛力方向,推動其向規范化、精準化發展。
三、干細胞治療腦癱臨床效果總結
綜上所述,干細胞治療腦癱的臨床效果已在多項研究中得到驗證,其在改善運動功能、促進神經可塑性及提升生活質量方面展現出顯著潛力。研究表明,臍帶間充質干細胞(hUC-MSC)、神經干細胞(NSCs)及臍帶血干細胞(UCB)等療法在特定劑量和病情分層下,可有效提升患兒的粗大運動能力、日常生活獨立性及社交互動水平,且安全性良好(僅個別輕微不良事件)。
總體而言,干細胞治療通過增強神經可塑性、改善腦代謝功能及運動能力,為腦癱康復提供了新方向。未來需結合劑量優化、病情分層管理及早期干預策略,進一步推動療法向精準化、規范化發展,以實現從實驗室突破到臨床應用的跨越。
四、未來展望與建議
聯合治療或成趨勢:干細胞移植結合神經營養藥物、康復訓練可增強療效,但需規避多次操作的感染風險。
基因工程技術的應用:通過基因編輯增強干細胞分泌神經營養因子的能力,有望突破療效瓶頸。
需大樣本長期研究:建立多中心隨機對照試驗(RCT),延長隨訪期至3-5年,明確最佳治療方案。
結語
干細胞治療腦癱展現出顯著的臨床潛力,在改善運動功能、認知能力等方面展現出積極潛力,尤其對傳統康復治療反應不佳的患者可能提供新選擇。隨著研究的深入和技術的成熟,干細胞治療必將在腦癱康復領域發揮越來越重要的作用,為全球數百萬腦癱患者點亮希望之光。
參考資料:
Gu, J., Huang, L., Zhang, C. et al. Therapeutic evidence of umbilical cord-derived mesenchymal stem cell transplantation for cerebral palsy: a randomized, controlled trial. Stem Cell Res Ther 11, 43 (2020). https://doi.org/10.1186/s13287-019-1545-x
Zhongyue Lv, Ying Li, Yachen Wang et al. Safety and Efficacy Outcomes after Intranasal administration of Neural Stem Cells in Cerebral Palsy: a randomized controlled trial, 05 May 2022, PREPRINT (Version 1) available at Research Square [https://doi.org/10.21203/rs.3.rs-1599525/v1]
Megan Finch-Edmondson, Madison C. B. Paton, Annabel Webb, Mahmoud Reza Ashrafi, Remy K. Blatch-Williams, Charles S. Cox, Kylie Crompton, Alexandra R. Griffin, MinYoung Kim, Steven Kosmach, Joanne Kurtzberg, Masoumeh Nouri, Mi Ri Suh, Jessica Sun, Morteza Zarrabi, Iona Novak; Cord Blood Treatment for Children With Cerebral Palsy: Individual Participant Data Meta-Analysis. Pediatrics April 2025; 155 (5): e2024068999. 10.1542/peds.2024-068999
免責說明:本文僅用于傳播科普知識,分享行業觀點,不構成任何臨床診斷建議!杭吉干細胞所發布的信息不能替代醫生或藥劑師的專業建議。如有版權等疑問,請隨時聯系我。
掃碼添加官方微信